Ответы
Ответ дал:
0
Ответ:
Объяснение:
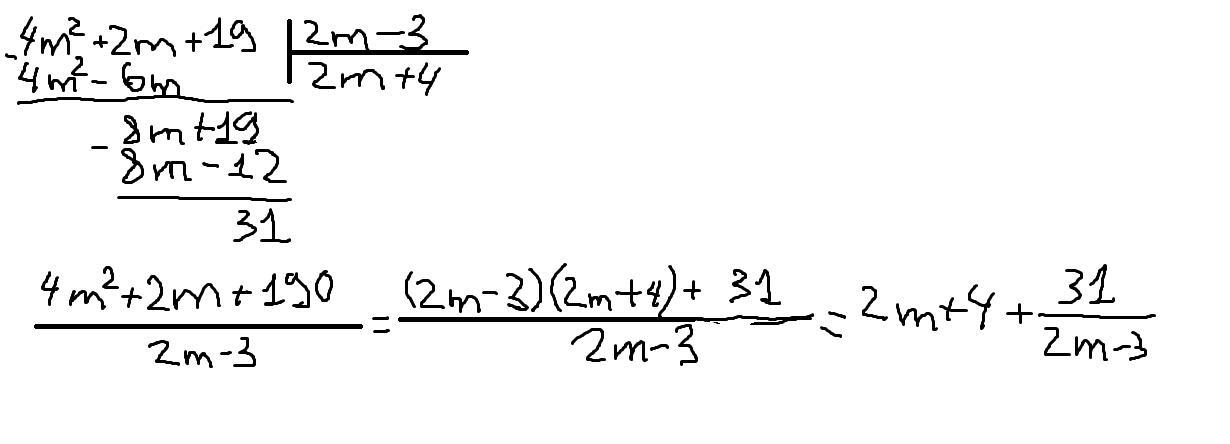
Решение в приложении
Приложения:

sadRaven:
блин там вместо 0 после 19 скобка идет
Вас заинтересует
1 год назад
1 год назад
2 года назад
3 года назад
8 лет назад
8 лет назад