• Предмет: Алгебра
  • Автор: pashox
  • Вопрос задан 2 года назад

Решите 4 номер пожалуйста срочно!!!

Приложения:

Ответы

Ответ дал: oieu2350
0

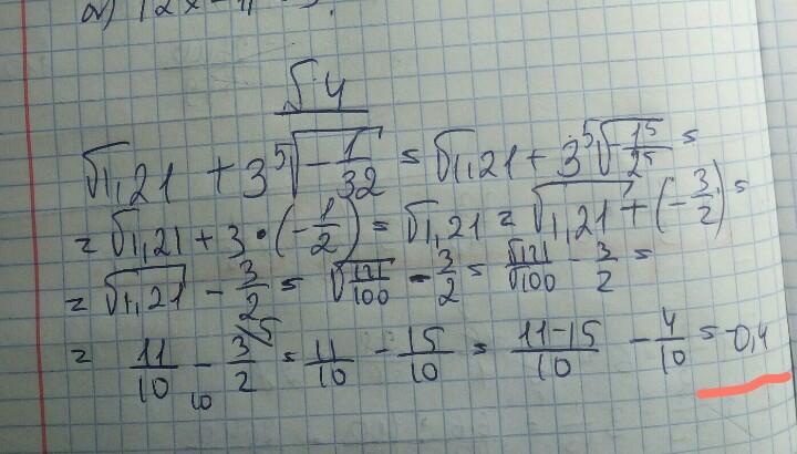
Ответ:

подробно в файле удачи

Приложения:
Вас заинтересует