• Предмет: Алгебра
  • Автор: BallBes
  • Вопрос задан 2 года назад

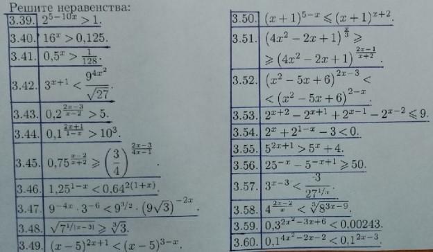
3.43
А по возможности все

Приложения:

Ответы

Ответ дал: lindavesper214
1

Ответ:

x = (2. 47/23)

Объяснение:

Вас заинтересует