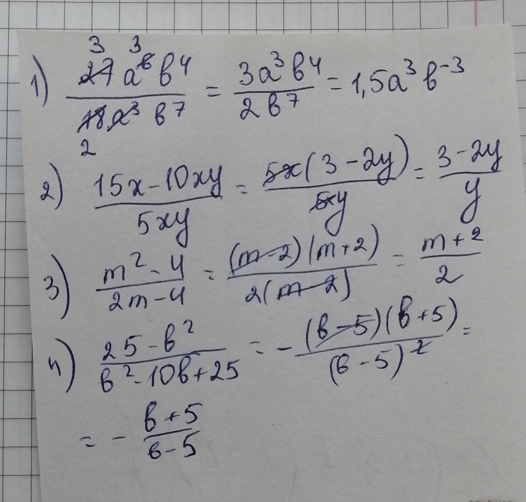
Помогите решить, прошу
Приложения:

Аноним:
Составьте 5 предложений: просить.
Ответы
Ответ дал:
1
Ответ:
Держи, вроде так))))))
Приложения:

Вас заинтересует
1 год назад
1 год назад
2 года назад
2 года назад
3 года назад
8 лет назад