БЫСТРЕЕ! ДАЮ 100 БАЛЛОВ!
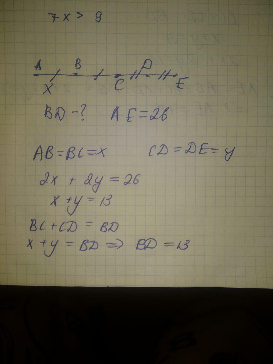
Точки A, B, C, D и E лежат на одной прямой так, что B – середина отрезка AC , а D – середина отрезка CE
Найдите BD, если AE = 26 .
Найдите AE , если BD = 9 .
Ответы
Ответ дал:
14
Ответ:
13, 18
Объяснение:
Приложения:


Вас заинтересует
1 год назад
1 год назад
2 года назад
2 года назад
3 года назад
3 года назад
8 лет назад
8 лет назад