• Предмет: Математика
  • Автор: Rub20
  • Вопрос задан 2 года назад

ВЫПОЛНИте действие 2/13-1/9​

Ответы

Ответ дал: WerkeCR7
2

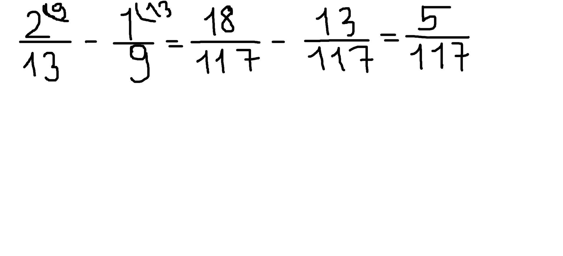
Ответ:

2/13 и 1/9 нужно привести к общему знаменателю:

117

2/13=18/117

1/9=13/117

теперь отнимаем:

18/117 - 13/117= 5/117

Ответ:5/117

Ответ дал: Аноним
1

Ответ: 5/117

Пошаговое объяснение:↓↓↓

Приложения:

WerkeCR7: Пхахпах
Аноним: что?
WerkeCR7: все пбабв
WerkeCR7: всё правильно*
Вас заинтересует