• Предмет: Математика
  • Автор: daryn2323
  • Вопрос задан 2 года назад

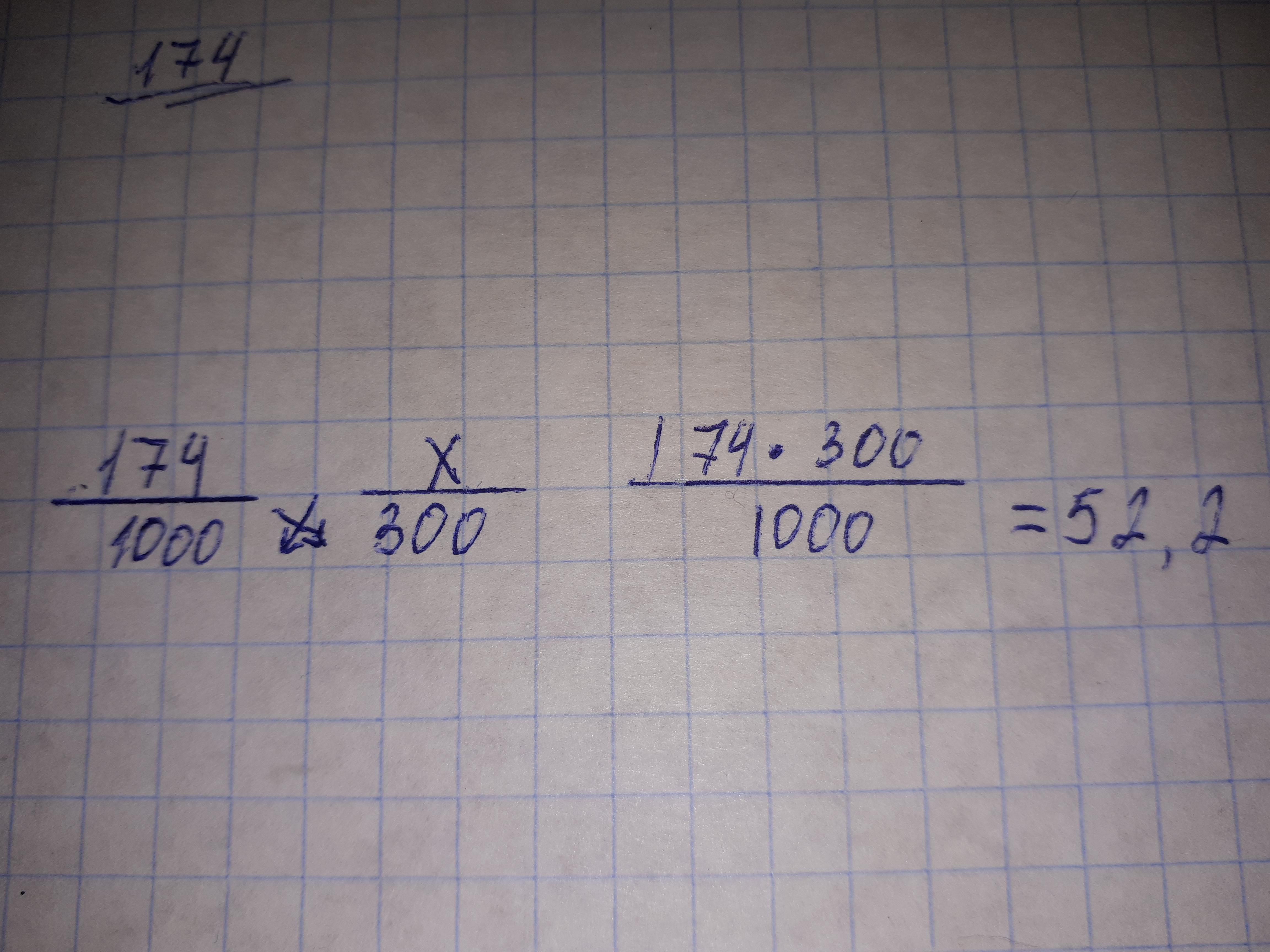
1 кг сахара стоит 174 тенге.
Нужно узнать сколько стоит 300 грамм ​

Ответы

Ответ дал: SierraSilvergrast
1

Составим пропорцию:

174/1000

х/300

где х - цена за 300 грамм

х = 174 × 300 / 1000 = 52.2

Приложения:
Вас заинтересует