• Предмет: Алгебра
  • Автор: OlegBlokhin1235
  • Вопрос задан 2 года назад

Помогите. Даю 18 баллов. 9 класс. Тема: Неравенства
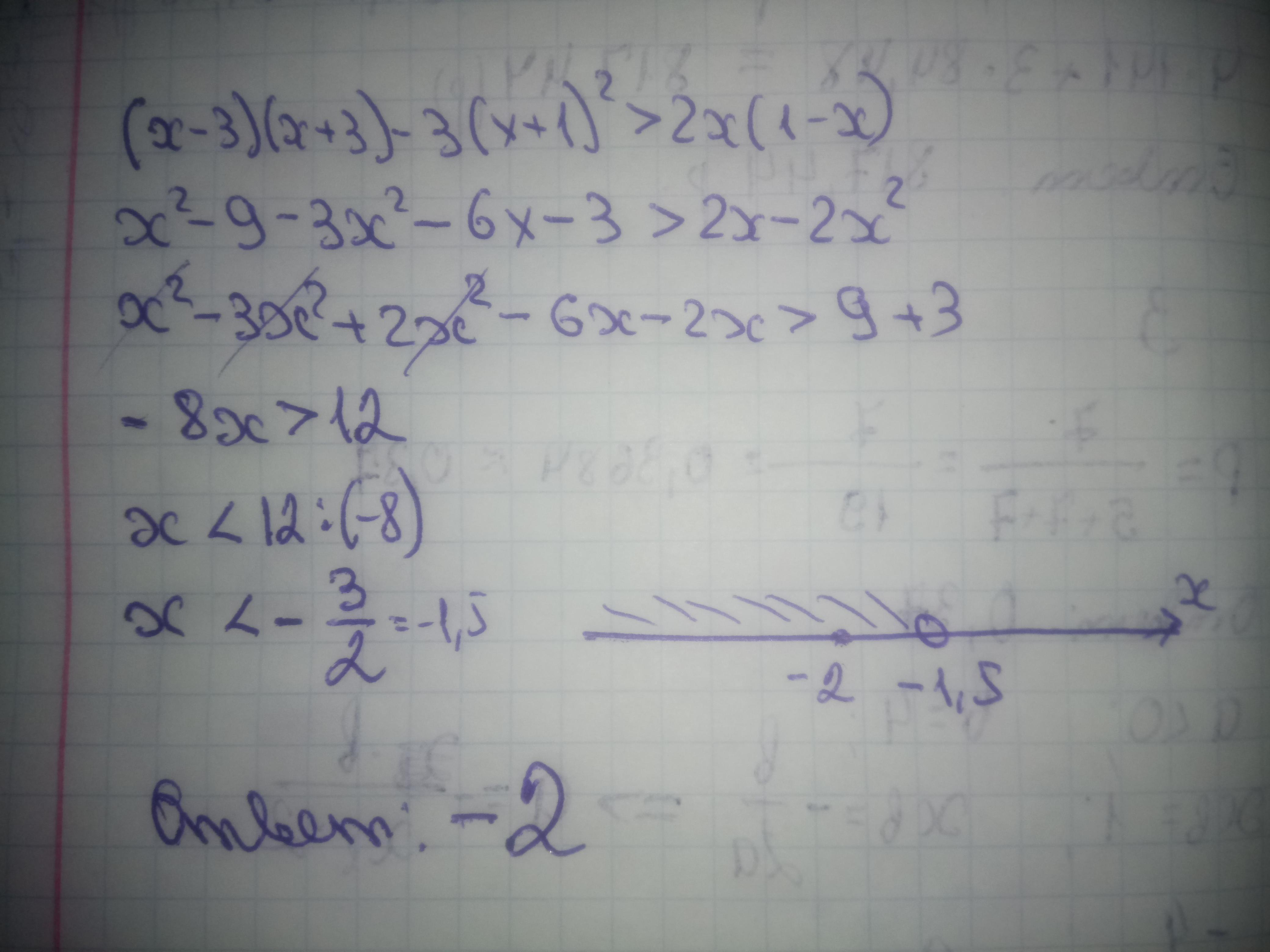
Найдите наибольшее целое решение неравенства (x-3)(x+3)-3(x+1)^2>2x(1-x)

Ответы

Ответ дал: Аноним
1

Решение задания приложено

Приложения:
Вас заинтересует