• Предмет: Математика
  • Автор: JohnSeed
  • Вопрос задан 2 года назад

Номер 8 с решением пожалуйста.

Приложения:

Ответы

Ответ дал: yourlittlewitch
1

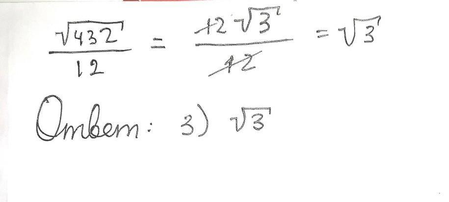
Ответ: 3) √3

√432/12 = 12√3/12

12 сокращаем на 12, получается √3

Приложения:
Ответ дал: MoRioSio
2

Ответ:

корень из 3

Пошаговое объяснение:

разлогаешь 432 на наименьшие кратные и дальше уже просто упращаеш дробь

Приложения:
Вас заинтересует