• Предмет: Алгебра
  • Автор: esfdgsdfgd
  • Вопрос задан 2 года назад

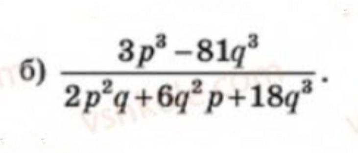
Спростіть вираз..........

Приложения:

Ответы

Ответ дал: vvvikaaaaaaaaaaaaaa
1

По моему как-то так... Если что-то не понятно, то напиши

Приложения:

esfdgsdfgd: А почему 18q кубе стало потом в квадрате (9q в квадрате) Почему не в кубе?
Вас заинтересует