• Предмет: Алгебра
  • Автор: snypi01
  • Вопрос задан 2 года назад

HELP!!!!!!!!!!!!!!!!!
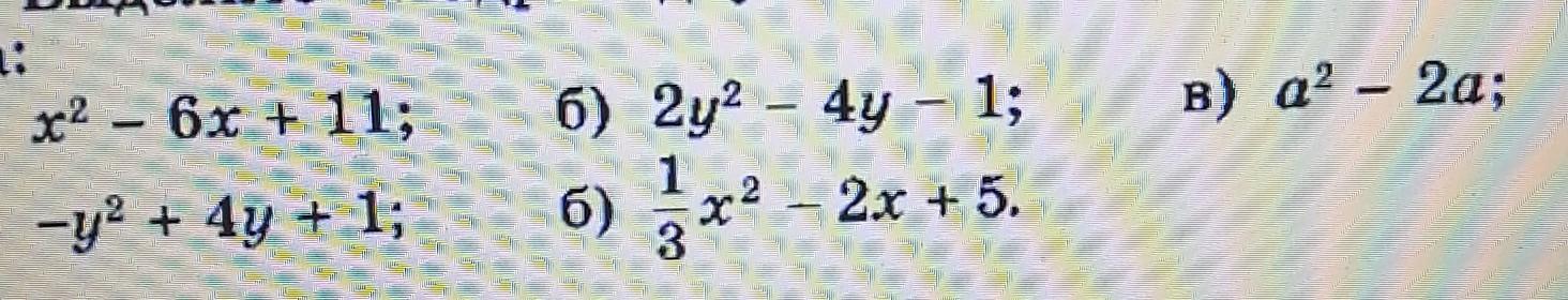
Выделите квадрат двучлена из квадратного трёх члена. СРОЧНО, ПОЖАЛУЙСТА ​

Приложения:

Ответы

Ответ дал: zinaidazina
1

1)

x^{2} -6x+11=(x^{2} -2*3*x+9)-9+11=(x-3)^2+2

2)

2y^2-4y-1=2*(y^2-2y-\frac{1}{2})=

=2*(y^2-2y+1-1-\frac{1}{2})=

=2((y^2-2y+1)-1-\frac{1}{2})=

=2((y-1)^2-\frac{3}{2})=2(y-1)^2-3

3)

a^{2}-2a=(a^{2}-2a+1)-1=(a-1)^2-1

4)

-y^{2}+4y+1=-(y^{2}-4y-1)=-(y^{2}-4y+4-4-1)=

=-((y^{2}-4y+4)-5)=-((y-2)^{2}-5)=-(y-2)^{2}+5

5)

\frac{1}{3}x^{2}-2x+5=\frac{1}{3}(x^{2}-6x+15)=

=\frac{1}{3}(x^{2}-2*3x+9-9+15)=

=\frac{1}{3}((x^{2}-2*3x+9)+6)=\frac{1}{3}((x-3)^{2}+6)=

=\frac{1}{3}(x-3)^{2}+2

Вас заинтересует