• Предмет: Алгебра
  • Автор: gfdhdjih
  • Вопрос задан 2 года назад

Помогите, пожалуйста! Срочно!

Приложения:

Ответы

Ответ дал: Аноним
0

Ответ:

Объяснение:

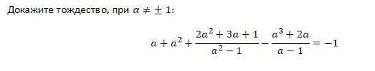
a+a² +(2a²+3a+1)/(a²-1) -(a³+2a)/(a-1)=-1

(a(1+a)(a-1)+2a²+3a+1-(a³+2a)(a+1))/((a-1)(a+1))=-1

(a³-a+2a²+3a+1-a⁴-a³-2a²-2a)/(a²-1)=-1

(1-a²)(1+a²)/(a²-1)=-1

-(a²-1)(1+a²)/(a²-1)=-1

1+a²=1

a²=0

a=0

Вас заинтересует