• Предмет: Математика
  • Автор: xZoom8
  • Вопрос задан 2 года назад

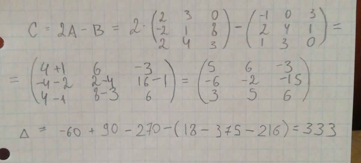
Решить по правилу Саруса.

Приложения:

LordStatski: так надо опредклитель найти или матрицу найти?
xZoom8: найти матрицу
LordStatski: тогда при чем тут этл правило, если по нему определитель ищут?
xZoom8: пацан, я без понятия
xZoom8: мне просто надо решить
LordStatski: лан, ща
xZoom8: :)

Ответы

Ответ дал: LordStatski
1

Ответ:

определитель таки по этому правилу посчитал.

Приложения:

xZoom8: братишка, есть вк?
LordStatski: да, а что?
xZoom8: может добавишь?
xZoom8: я тебе там буду писать
LordStatski: давай айди
xZoom8: d_125451
Вас заинтересует