Ответы
Ответ дал:
2
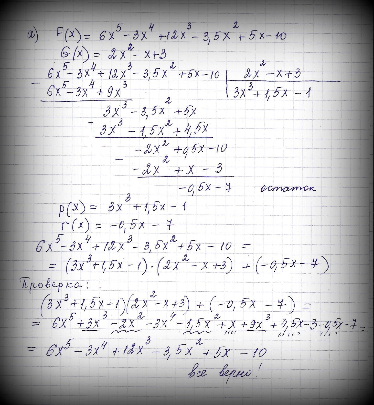
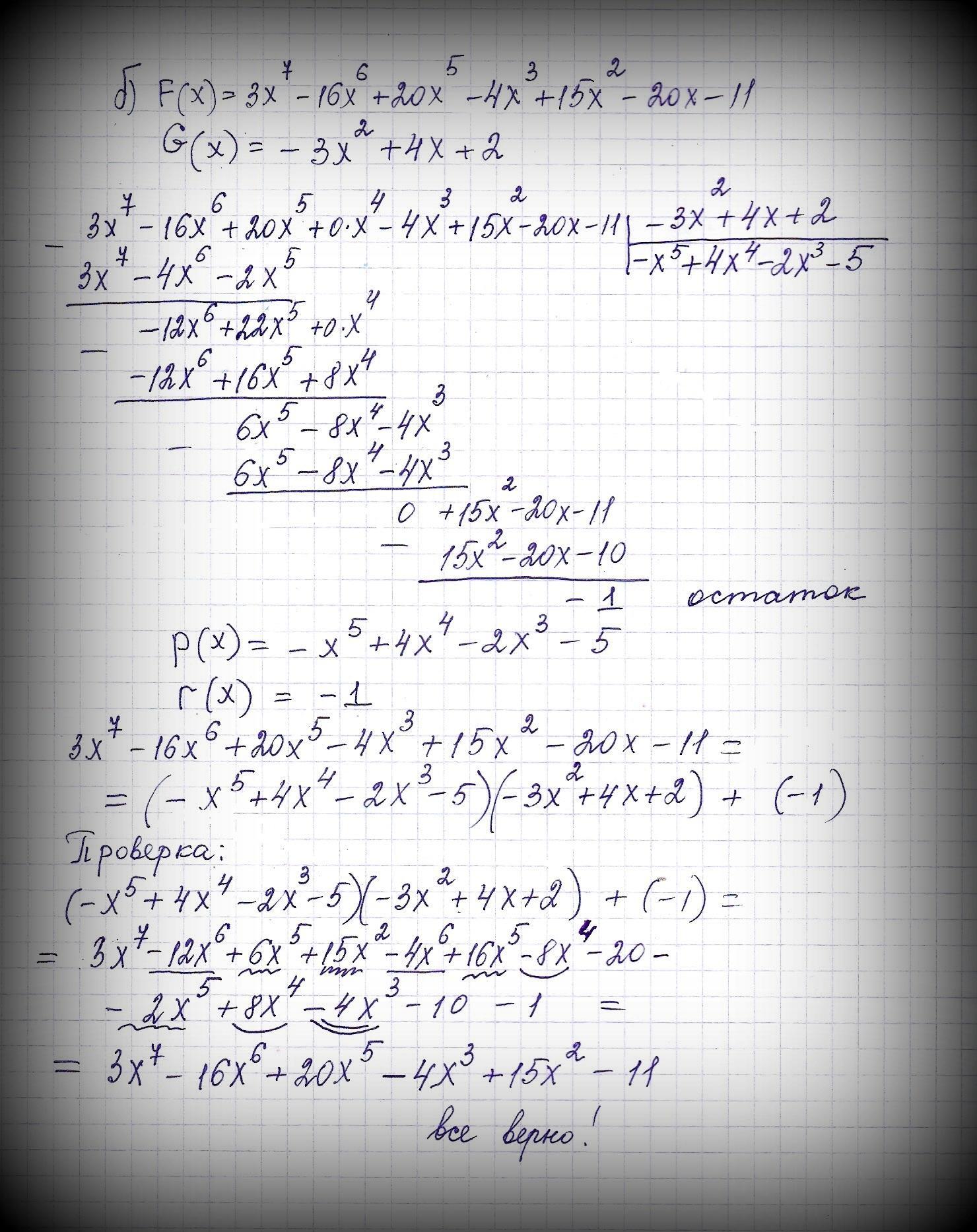
Ответ:
Пошаговое объяснение:
===========================
Приложения:


Вас заинтересует
1 год назад
1 год назад
2 года назад
3 года назад
8 лет назад