Ответы
Ответ дал:
2
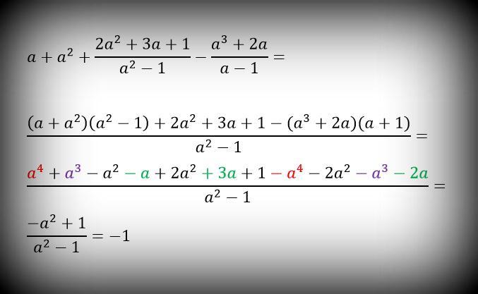
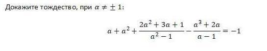
Ответ:
Объяснение:
===============================================
Приложения:

Вас заинтересует
1 год назад
1 год назад
1 год назад
1 год назад
3 года назад
3 года назад
8 лет назад