Ответы
Ответ дал:
2
Ответ:
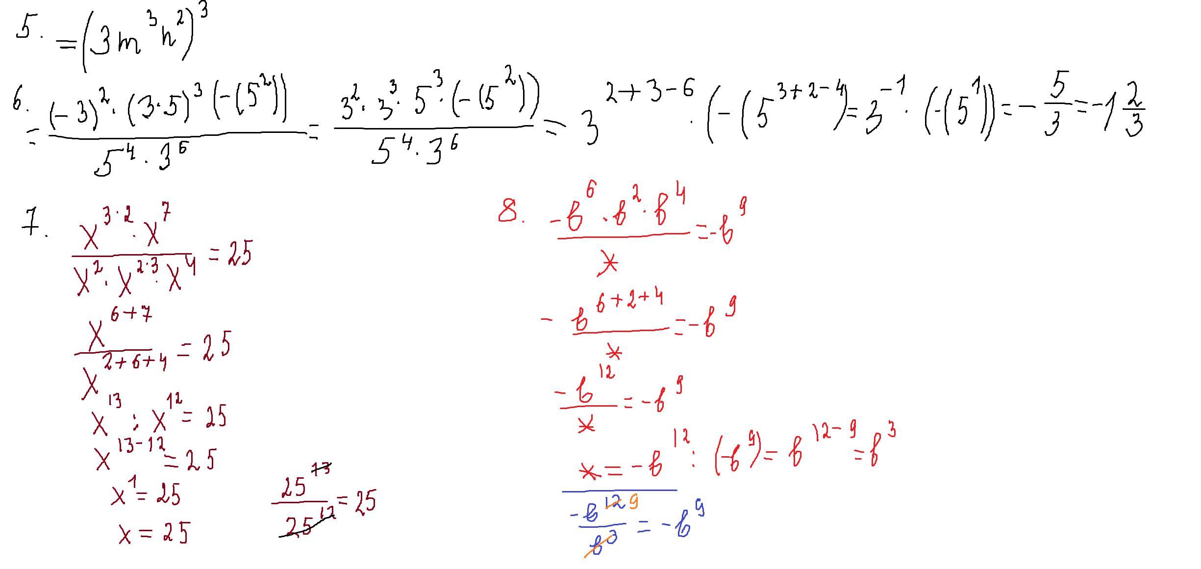
Объяснение:при умножении степеней с одинаковым основанием показатели складываются,при делении-вычитаются,при возведении степени в степень-перемножаются.
применяя св-во степеней,получаем решение внизу.
Приложения:

kotpidrov02:
спасибо
Вас заинтересует
1 год назад
1 год назад
1 год назад
1 год назад
3 года назад
3 года назад
8 лет назад