• Предмет: Алгебра
  • Автор: allllllllllllllvi
  • Вопрос задан 2 года назад


​ПОМОГМТЕ ПОЖАЛУЙСТА СО ВТОРЫМ И ТРЕТЬЕМ НОМЕРАМИ ОЧЕНБ СРОЧНО.

БУДУ БЕСКОНЕЧНО БЛАГОДАРНА

Приложения:

Ответы

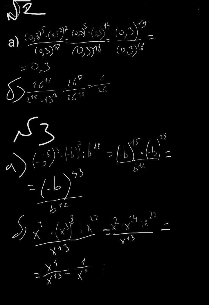
Ответ дал: dardjek
1

Ответ:

фото

Объяснение:

Приложения:
Ответ дал: glany7052
1

Ответ:

все примеры подробно решены (открой картинку полностью)

Приложения:
Вас заинтересует