• Предмет: Математика
  • Автор: GoResTT
  • Вопрос задан 2 года назад

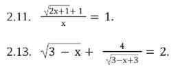
решите уравнение . . .

Приложения:

Ответы

Ответ дал: Аноним
0

Я думаю, что в знаменателе( 2.13) под корнем только х-3, а +3 отдельно.

Приложения:
Вас заинтересует