Ответы
Ответ дал:
2
Смотри.....................
Приложения:

adamenkoivan566:
спасибо
Ответ дал:
0
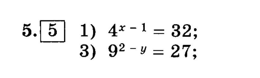
3) 4-2y=3
-2y=3-4
-2y=-1
Ответ : 0.5
1) 2x-2=5
2x=5+2
2x=7
Ответ : 3.5
-2y=3-4
-2y=-1
Ответ : 0.5
1) 2x-2=5
2x=5+2
2x=7
Ответ : 3.5
Вас заинтересует
1 год назад
1 год назад
1 год назад
1 год назад
3 года назад
3 года назад
8 лет назад