• Предмет: Математика
  • Автор: MrBelo4ka
  • Вопрос задан 2 года назад

Log5 49 + log5 5/49 помогите

Ответы

Ответ дал: 25hjoerf10
0

Ответ:

1

Пошаговое объяснение:

logx_{5} 49+logx_{5} \frac{5}{49} =logx_{5} (49*\frac{5}{49} )=logx_{5} 5=1

Ответ дал: st901087
0

Ответ:

1

Пошаговое объяснение:

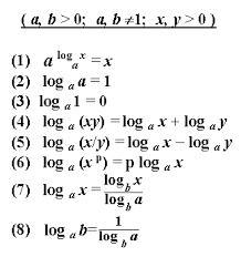
Log5 49 + log5 5/49 = log 5 ( 49* 5/49)= log 5 (5)=1

Мы использовали правила из файла на картинке

Приложения:
Вас заинтересует