• Предмет: Алгебра
  • Автор: Olenka1978
  • Вопрос задан 2 года назад

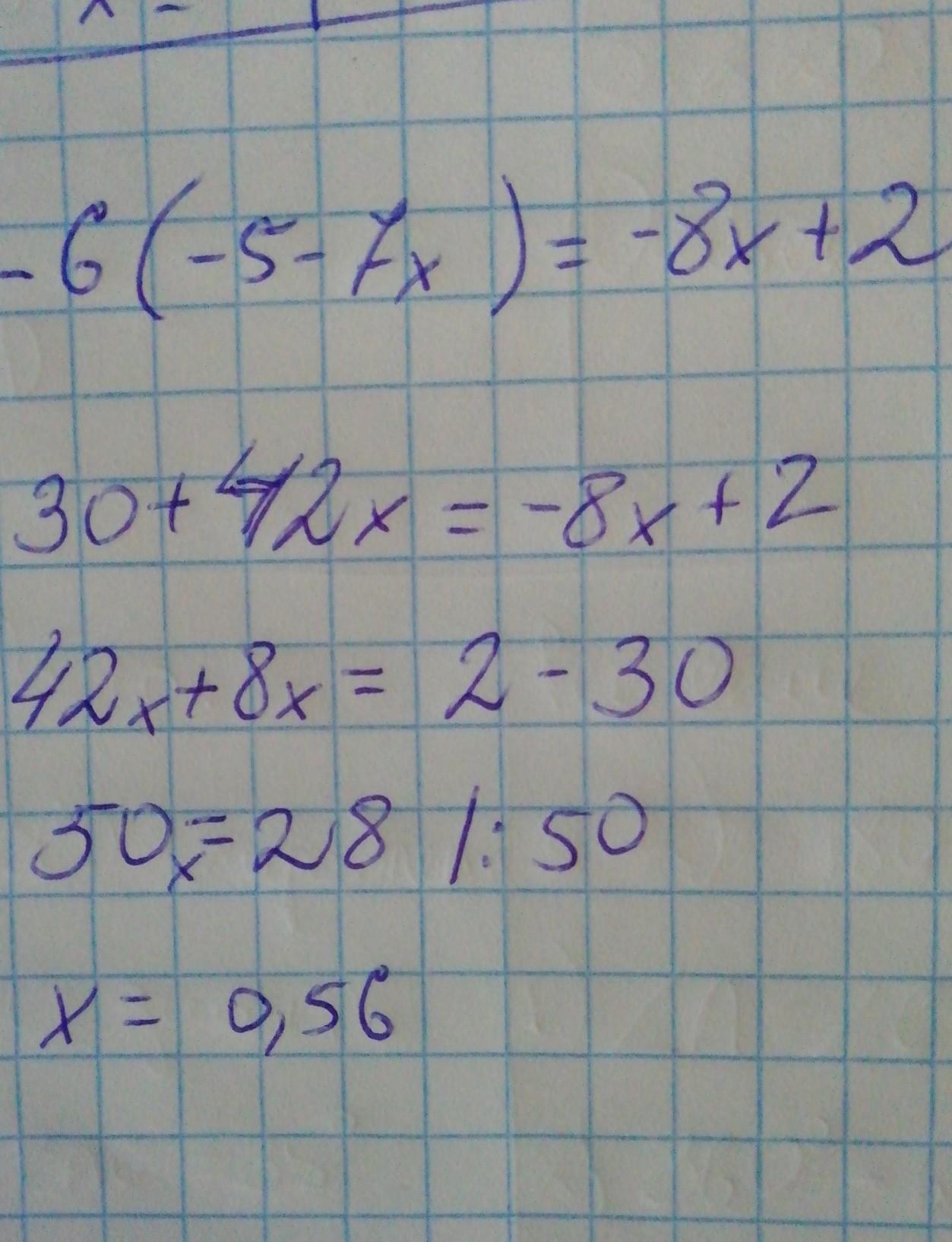
найдите значение выражения -6(-5-7x)=-8x+2 Помогите пожалуйста решить пример рациональные числа.Плиз

Ответы

Ответ дал: zrittel
2

Объяснение:

.........................

Приложения:
Ответ дал: sasha23122004k
1

Ответ:

Объяснение:

-6(-5-7х)=-8х+2

30+42х=-8х+2

42х+8х=2-30

50х=-28

х=-14/25

ну как то так

Вас заинтересует