Срочно! Помогите с примерами по теме.."Корни n-ой степени из числа" с решение пожалуйста;)
Приложения:

Аноним:
никто не помогает?
Ответы
Ответ дал:
1
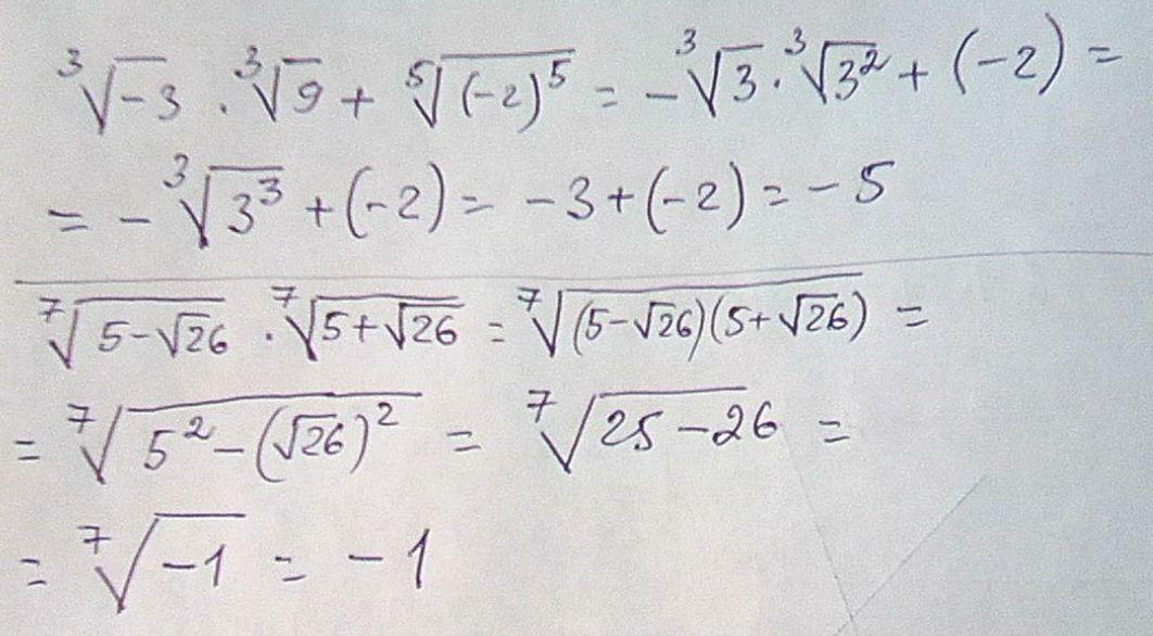
= решение = решение = решение = решение = решение =
Приложения:

Вас заинтересует
1 год назад
1 год назад
1 год назад
3 года назад
3 года назад