• Предмет: Алгебра
  • Автор: ilyasheptalin200574
  • Вопрос задан 2 года назад

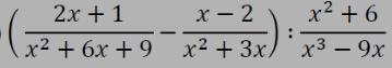
Срочно алгебра. Выполните действия. 1), 2) действия. Даю 70 баллов.

Приложения:

Ответы

Ответ дал: sobakazabiyaka
0

Ответ в закрепе........

Приложения:
Вас заинтересует