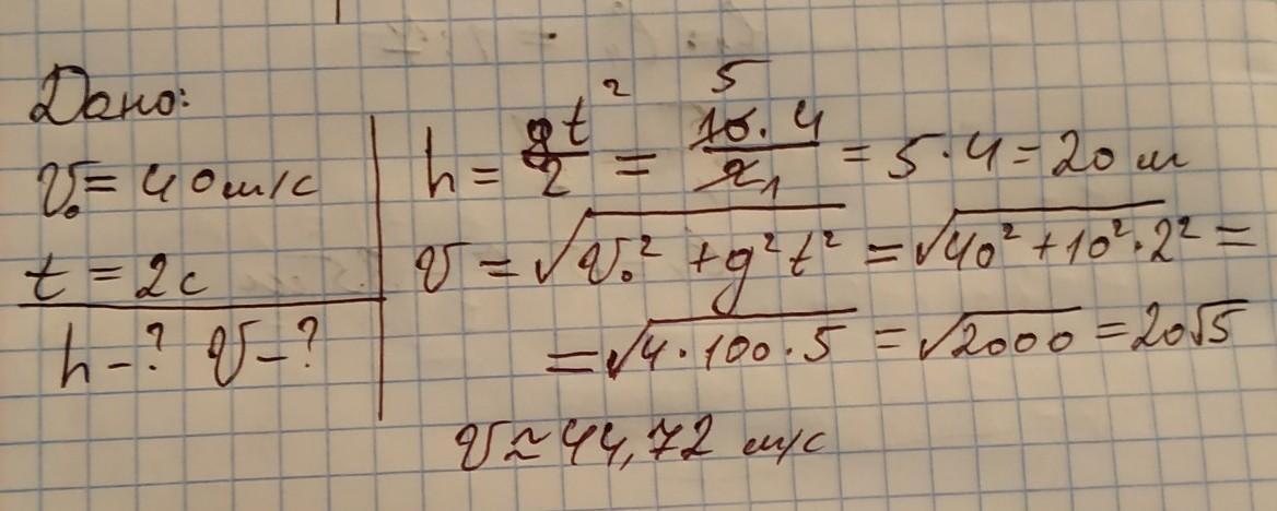
М'яч кинутий горизонтально зі швидкістю 40 м/с падає на землю через 2 с. На яку висоту було його кинуто і яку швидкість він мав в момент падіння?
Ответы
Ответ дал:
1
Ответ:
h=20 м
V≈44,72 м/с
Объяснение:
20√5≈44,72
Приложения:

Вас заинтересует
1 год назад
1 год назад
1 год назад
1 год назад
3 года назад