• Предмет: Математика
  • Автор: Alex666Blask
  • Вопрос задан 2 года назад

Помогите пожалуйста!! Показательные уравнения :

Приложения:

Ответы

Ответ дал: UluanaV
0

Ответ:

Пошаговое объяснение:

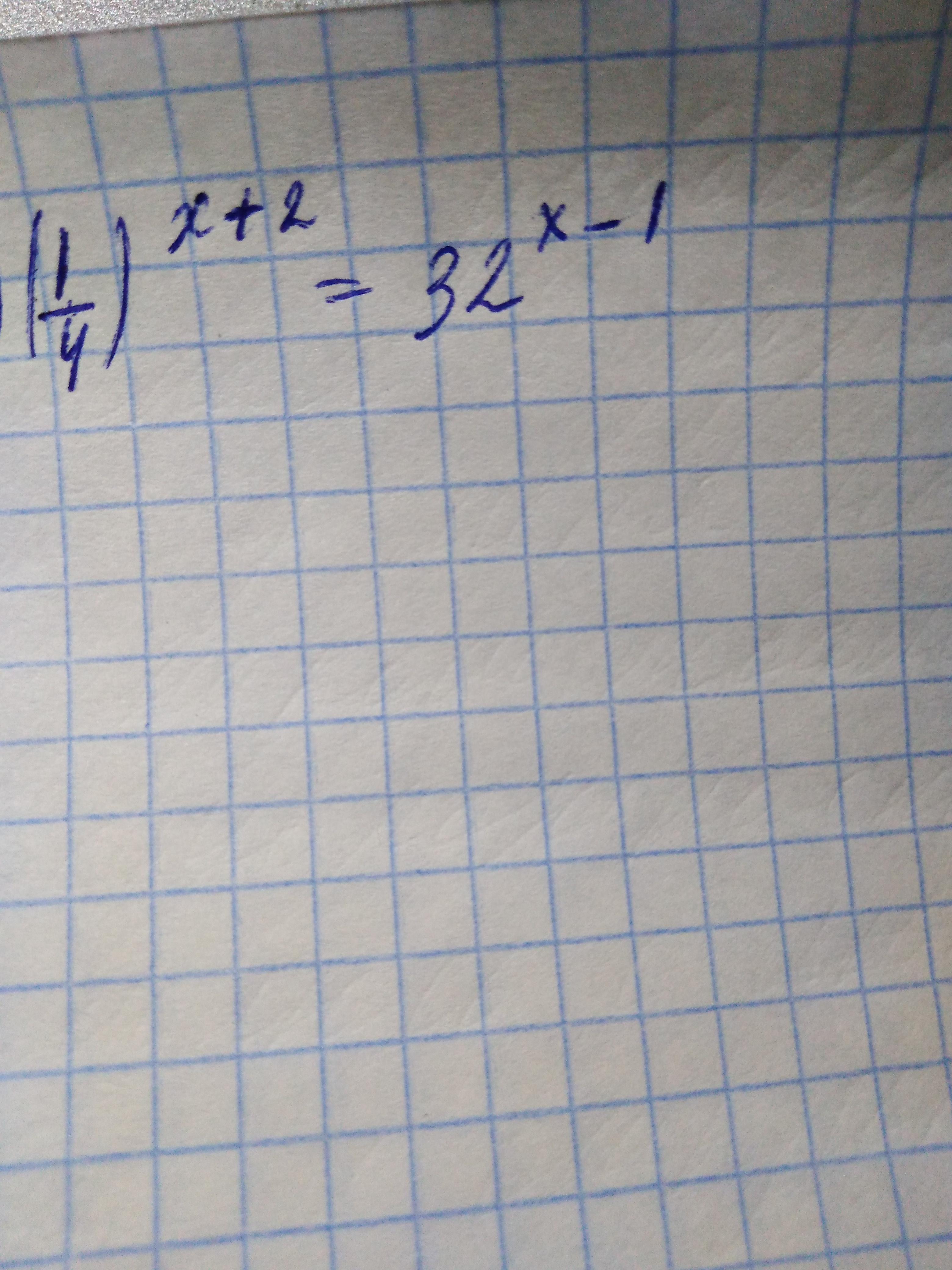
(\frac{1}{4})^{x+2}=32^{x-1}\\ \\ (2^{-2})^{x+2}=(2^5)^{x-1}\\ \\ 2^{2(x+2)}=2^{5(x-1)}\\ \\ 2(x+2)=5(x-1)\\2x+4=5x-5\\5x-2x=4+5\\3x=9\\x=3\\

Ответ: х = 3.

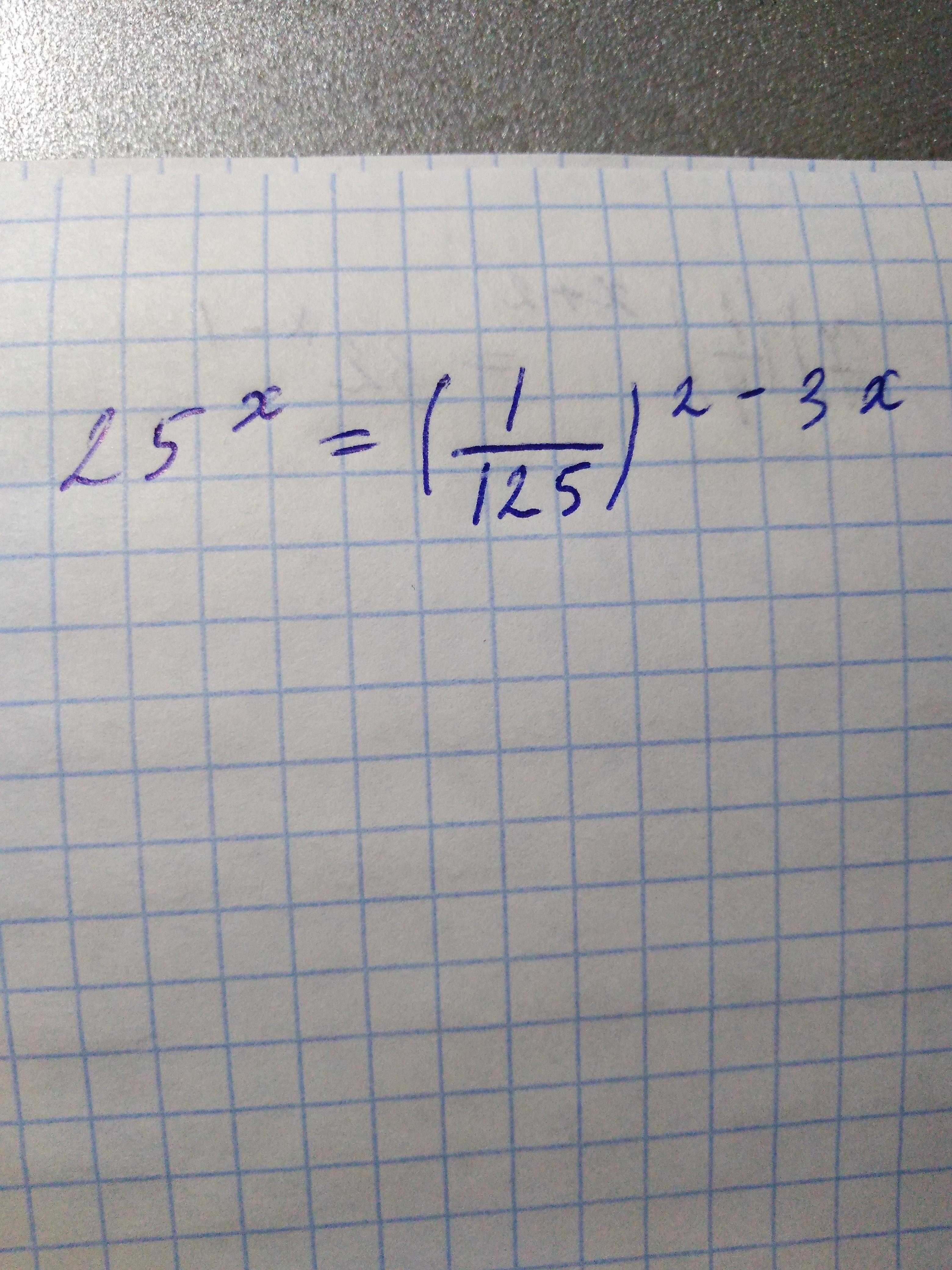
25^x=(\frac{1}{125})^{2-3x}\\\\(5^2)^x=(5^3)^{2-3x}\\\\5^{2x}=5^{3(2-3x)}\\\\2x=3(2-3x)\\2x=6-9x\\2x+9x=6\\11x=6\\\\x=\frac{6}{11}

Ответ: х = (6/11).

0,5^x=16^{x+5}\\\\\ (\frac{1}{2})^x =16^{x+5}\\\\(2^{-1})^x =(2^4)^{x+5}\\\\2^{-x} =2^{4(x+5)}\\\\-x=4(x+5)\\-x=4x+20\\4x+x=-20\\5x=-20\\x=-4

Ответ: х = -4.

Вас заинтересует