• Предмет: Математика
  • Автор: galaxy135
  • Вопрос задан 2 года назад

Всероссийская олимпиада школьников по математике 9 класс​

Приложения:

Ответы

Ответ дал: VectorYTasetp
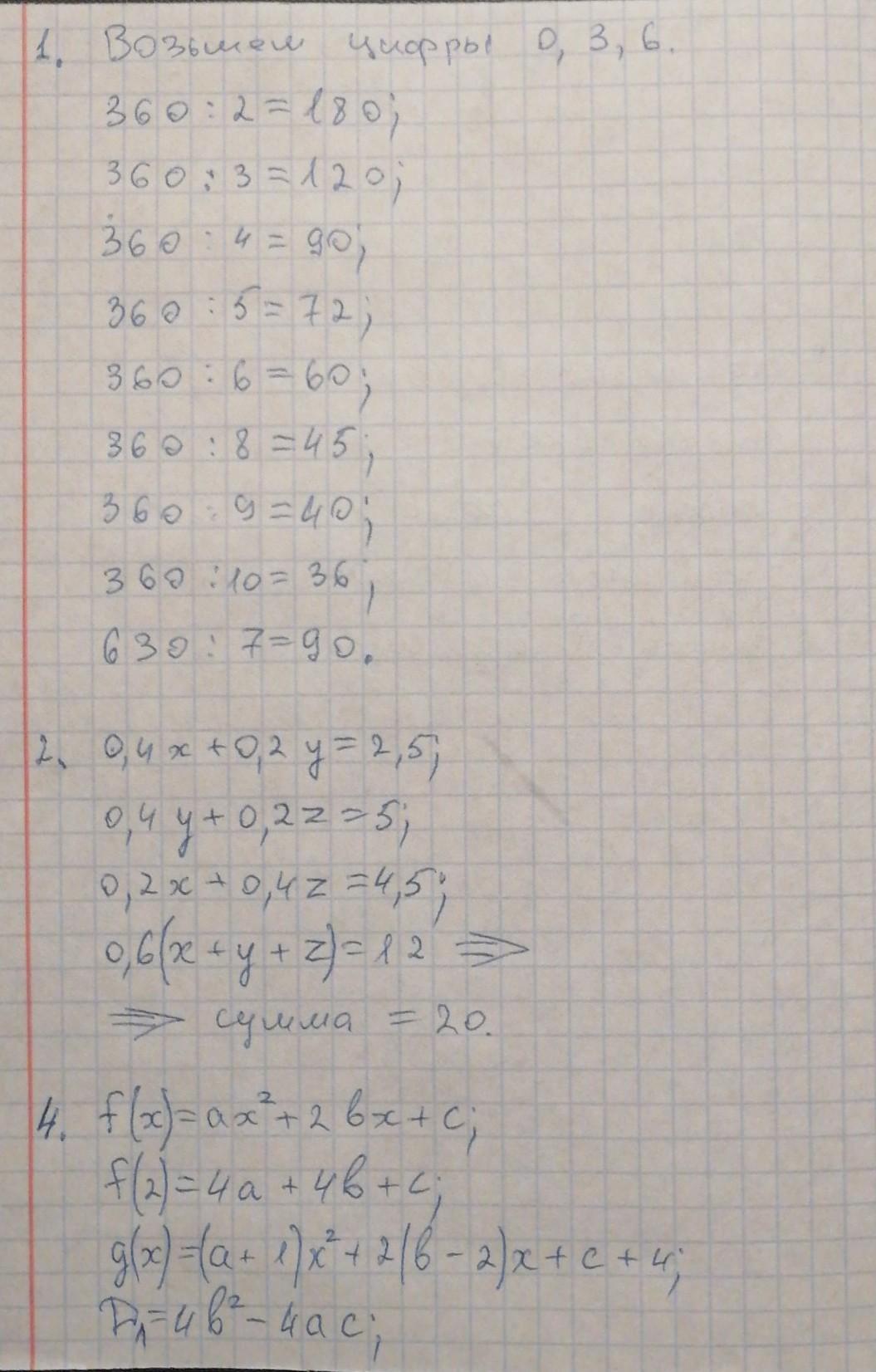
1

Ответ:

Только 1,2,4 задания.

Приложения:

galaxy135: спасибо большое
Вас заинтересует