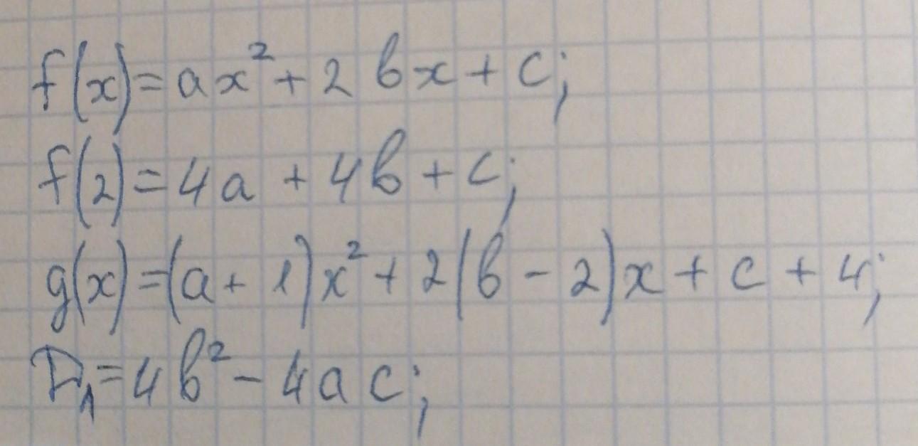
Дискриминант трехчлена f(x) = ax* + 2bx+ c равен дискриминанту трехчлена g(x) = (a + 1)x* + 2(b - 2)x + c + 4 . Найдите значение f(2) .
Ответы
Ответ дал:
0
Ответ:
Вот, это из всероссийской олимпиады школьников по математике 9 класс. Я на такую работу уже отвечал. Чекни мой профиль
Приложения:


Вас заинтересует
1 год назад
1 год назад
1 год назад
1 год назад
3 года назад
3 года назад
8 лет назад