• Предмет: Математика
  • Автор: stoyanovspoztvmy
  • Вопрос задан 2 года назад

Выполнить действия:
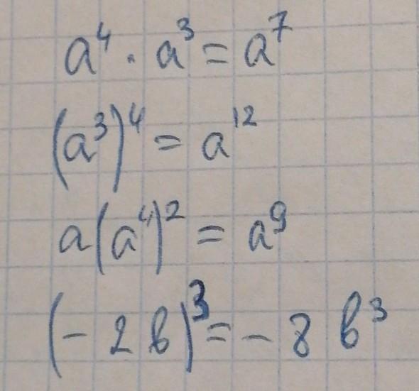
1. а^4 × а^3
2. (а^3)^4
3. а × (а^4)^2
4. (-2в)^3

Ответы

Ответ дал: VectorYTasetp
0

Ответ:

Вот, надеюсь правильно

Приложения:
Ответ дал: olkhovanatap2am3u
0

Ответ:

1. а⁴×а³=а⁴⁺³=а⁷

2. (а³)⁴=а³ˣ⁴=а¹²

3. а×(а⁴)²=а×а⁴ˣ²=а×а⁸=а¹⁺⁸=а⁹

4. (-2в)³=(-2)³×в³=-8в³

Пошаговое объяснение:

Вас заинтересует