• Предмет: Математика
  • Автор: Denis10122009
  • Вопрос задан 2 года назад

Помогите пожалуйста

Приложения:

Ответы

Ответ дал: parus77
5

Ответ:

Пошаговое объяснение:

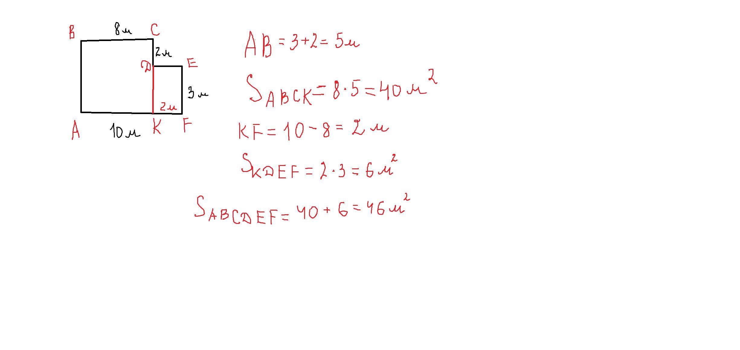
можно найти площадь фигуры ,разбив ее на 2 прямоугольника.Это 1 способ.

добавила  2 второй способ.

Приложения:
Вас заинтересует