• Предмет: Математика
  • Автор: Halimatpig
  • Вопрос задан 2 года назад

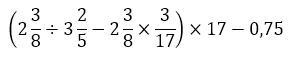
Найдите значение выражения рациональным способом

Приложения:

Ответы

Ответ дал: axatar
1

Ответ:

4

Пошаговое объяснение:

(2\frac{3}{8}:3\frac{2}{5} -2\frac{3}{8}*\frac{3}{17})*17-0,75=\\=(\frac{19}{8}:\frac{17}{5} -\frac{19}{8}*\frac{3}{17})*17-0,75=\\=\frac{19}{8}*\frac{5}{17}*17 -\frac{19}{8}*\frac{3}{17}*17-\frac{3}{4}=\\=\frac{19*5}{8}-\frac{19*3}{8}-\frac{3}{4}=\frac{19}{8}*(5-3)-\frac{6}{8}=\\=\frac{19*2}{8}-\frac{6}{8}=\frac{38-6}{8}=\frac{32}{8}=4

Вас заинтересует