Помгите решить если будет объяснения то будет замечательно сделаю вас лучшим ответом
Приложения:

Ответы
Ответ дал:
0
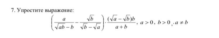
(a/(√(ab) - b) - √b/(√b - √a)) * (√a - √b)b/(a + b)
a/(√(ab) - b) - √b/(√b - √a) = a/(√b(√a - √b) - √b/(√b - √a) = a/(√b(√a - √b) + √b/(√a - √b) = a/(√b(√a - √b) + √b√b/√b(√a - √b) = (a+b)/(√b(√a - √b))
(a+b)/(√b(√a - √b)) * (√a - √b)b/(a + b) = √b
сначала скобку решаем
в первой дроби вынесли √b
привели к общему знаменателю
поменяли местами слагаемые и поменяли знак
перемножили
сократили
получили результат
Вас заинтересует
1 год назад
1 год назад
1 год назад
1 год назад
3 года назад
3 года назад
8 лет назад