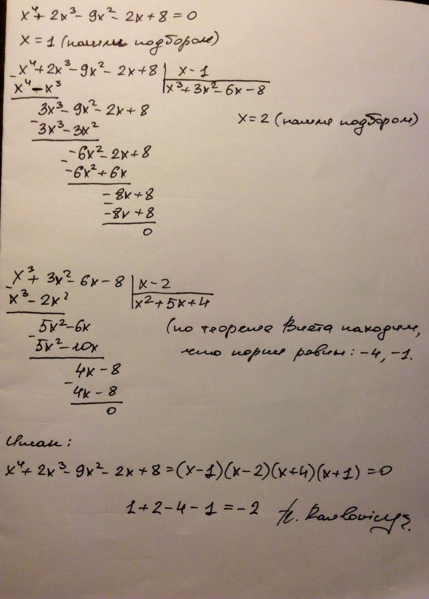
найти сумму корней уравнения:
х(в четвертой степени)+2х(в третей степени)-9х(во второй степени)-2х+8=0
Ответы
Ответ дал:
0
Решение во вложениях. Будет не понятно, обращайтесь.
Успехов.
Успехов.
Приложения:

Вас заинтересует
2 года назад
2 года назад
8 лет назад
8 лет назад
10 лет назад
10 лет назад