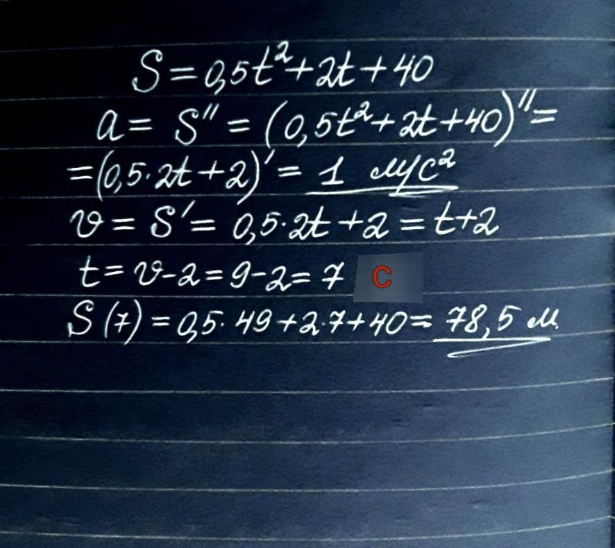
точка движется прямолинейно по закону s= 0.5t^2 +2t+40 .Определить ускорение и пройденный путь, когда величина скорости равна 9м/с
Ответы
Ответ дал:
1
Решение приложено
==================================================
Приложения:

Вас заинтересует
1 год назад
1 год назад
1 год назад
3 года назад
8 лет назад