Ответы
Ответ дал:
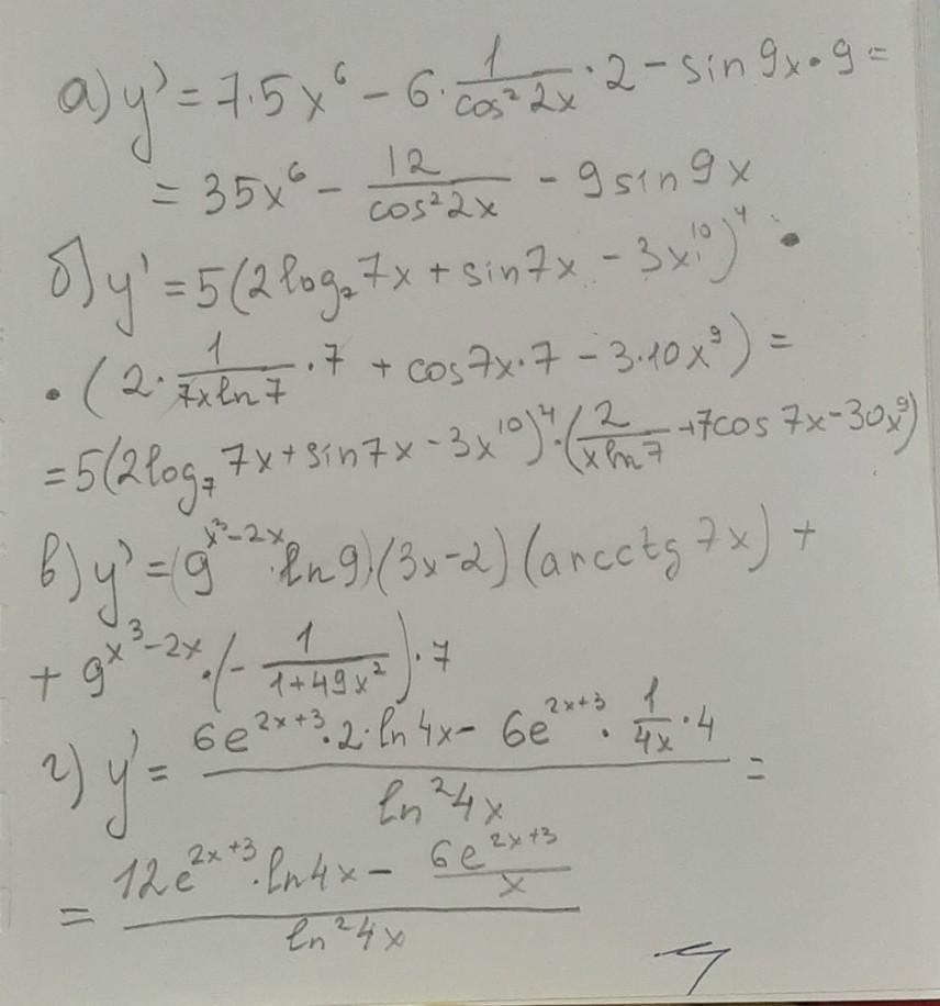
2
Ответ:
..........................
Приложения:

eikils2:
https://znanija.com/task/33176681,можете с этим помочь?
Вас заинтересует
1 год назад
1 год назад
3 года назад
3 года назад
8 лет назад