Ответы
Ответ дал:
0
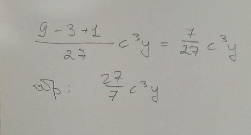
Ответ:
27/7*с^3*у
Объяснение:
..................
Приложения:

edinorogmimi:
Помогите решить еще пожалуйста: −5ada^2+d^25ad если а=1/5, а d=-4. можно без решения, а только ответ
Вас заинтересует
1 год назад
1 год назад
3 года назад
8 лет назад