• Предмет: Химия
  • Автор: smerkushewa
  • Вопрос задан 2 года назад

ПОЖАЛУЙСТА!!!!
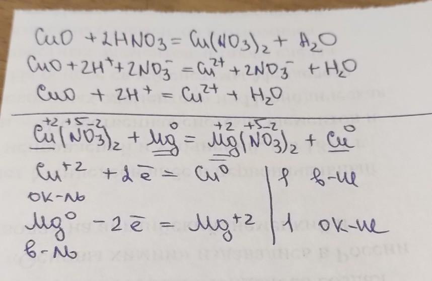
Составьте уравнения реакций в молекулярном и ионном виде, с помощью которых можно осуществить превращения:
а) CuO -> Cu(No3)2
б) Cu(No3)2 -> Cu

Ответы

Ответ дал: svetka1574
3

Ответ:

ответ смотри во вложении

Приложения:
Вас заинтересует