• Предмет: Алгебра
  • Автор: StarfloFrDcp
  • Вопрос задан 2 года назад

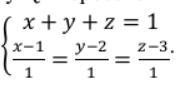
Можно с решением пожалуйста

Приложения:

Ответы

Ответ дал: magicazarus
1

Ответ:

С самым подробным решением, что смог предоставить) смотри вложенный файл

Объяснение:

Приложения:
Вас заинтересует