• Предмет: Алгебра
  • Автор: kat32796
  • Вопрос задан 2 года назад

помогите пожалуйста
туристи пропливли на моторному човні проти течії річки 6 км і повернулися назад витративши на всю подорож 4 год 30 хв. Яка власна швидкість човна якщо швидкість течії річки 1 км/год?

Ответы

Ответ дал: LessMan
1

Ответ:

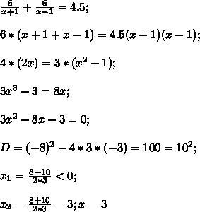
Пусть собственная скорость лодки х км\час, тогда скорость лодки по течению реки равна х+1 км\ч, против течения реки х-1 км\час, время пути по течению   ч, против течения  ч. По условию задачи составляем уравнение:

значит собственная скорость лодки равна 3 км\ч

овтет: 3 км\час

Приложения:
Вас заинтересует