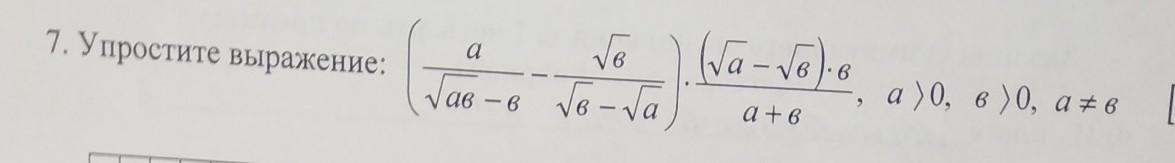
• Предмет: Алгебра
  • Автор: adina12378
  • Вопрос задан 2 года назад

СРОЧНО!!! СПАСИТИИИИИ
15 баллов!!! Please faster :>

Приложения:

Ответы

Ответ дал: miron2077
1

!!!!!!!!!!!!!!!!!!!!!!!!!!!!!!!11

Приложения:

adina12378: спасибо большое!
miron2077: пожалуйста
Вас заинтересует