В магазин завезли овощи. Помидоры составляли 5/8, огурцы - 1/12, а кабачки - 3/16 всех завезенных овощей. Остальной завезенный товар составлял лук. Какую часть всех овощей составлял лук? 35 балов даю
shushkasmol:
5/8=10/16; 10/16+3/16=13/16 кабачки и помидоры вместе, все овощи 16/16; 16/16-13/16=3/16 это огурцы и лук; 3/16-1/12=9/48-4/48=5/48 составляет лук
Ответы
Ответ дал:
1
Ответ:
======================
Пошаговое объяснение:
Приложения:

Ответ дал:
0
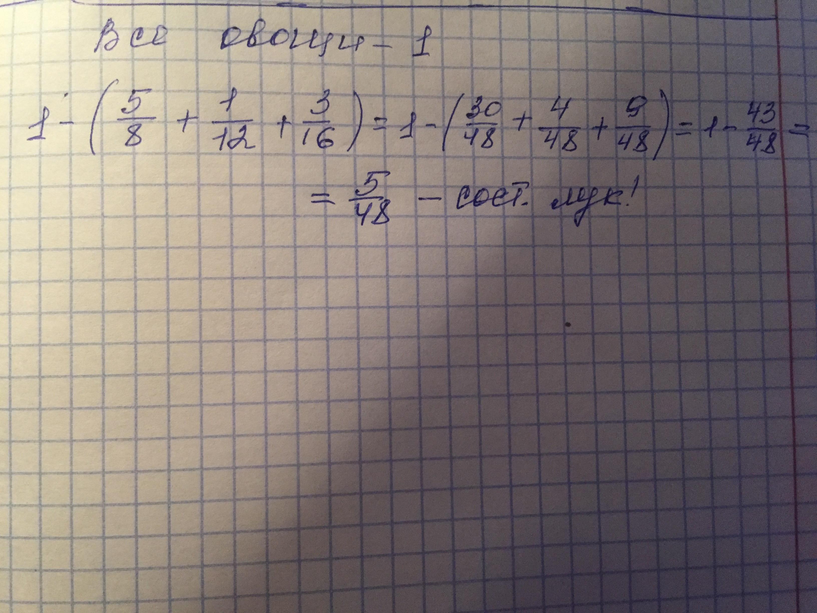
Ответ: 5/48
Пошаговое объяснение:
3/16+5/8=3/16+10/16=13/16 помидоры и кабачки вместе
16/16 все овощи
16/16-13/16=3/16 составляют огурцы и лук вместе
3/16-1/12=9/48-4/48=5/48 составляет лук
Вас заинтересует
1 год назад
1 год назад
1 год назад
1 год назад
3 года назад
3 года назад
8 лет назад