Ответы
Ответ дал:
2
Ответ:
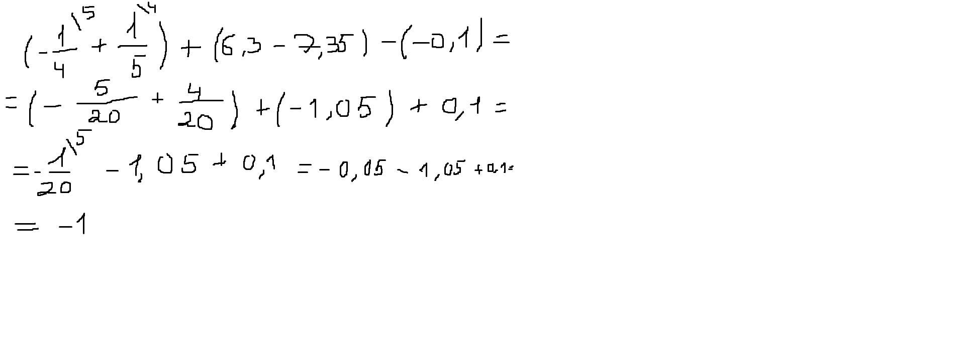
1)-1/4+1/5=-5/20+4/20=-1/20=-0,05
2)6,3-7,35=-1,05
3)-0,05+(-1,05)=-1,1
4)-1,1-(-0,1)=-1,1+0,1=-1
Пошаговое объяснение:
Приложения:

tom6374:
Это правильно?
Вас заинтересует
1 год назад
1 год назад
1 год назад
3 года назад
3 года назад
8 лет назад
8 лет назад