• Предмет: Химия
  • Автор: Cocolagrebal
  • Вопрос задан 2 года назад

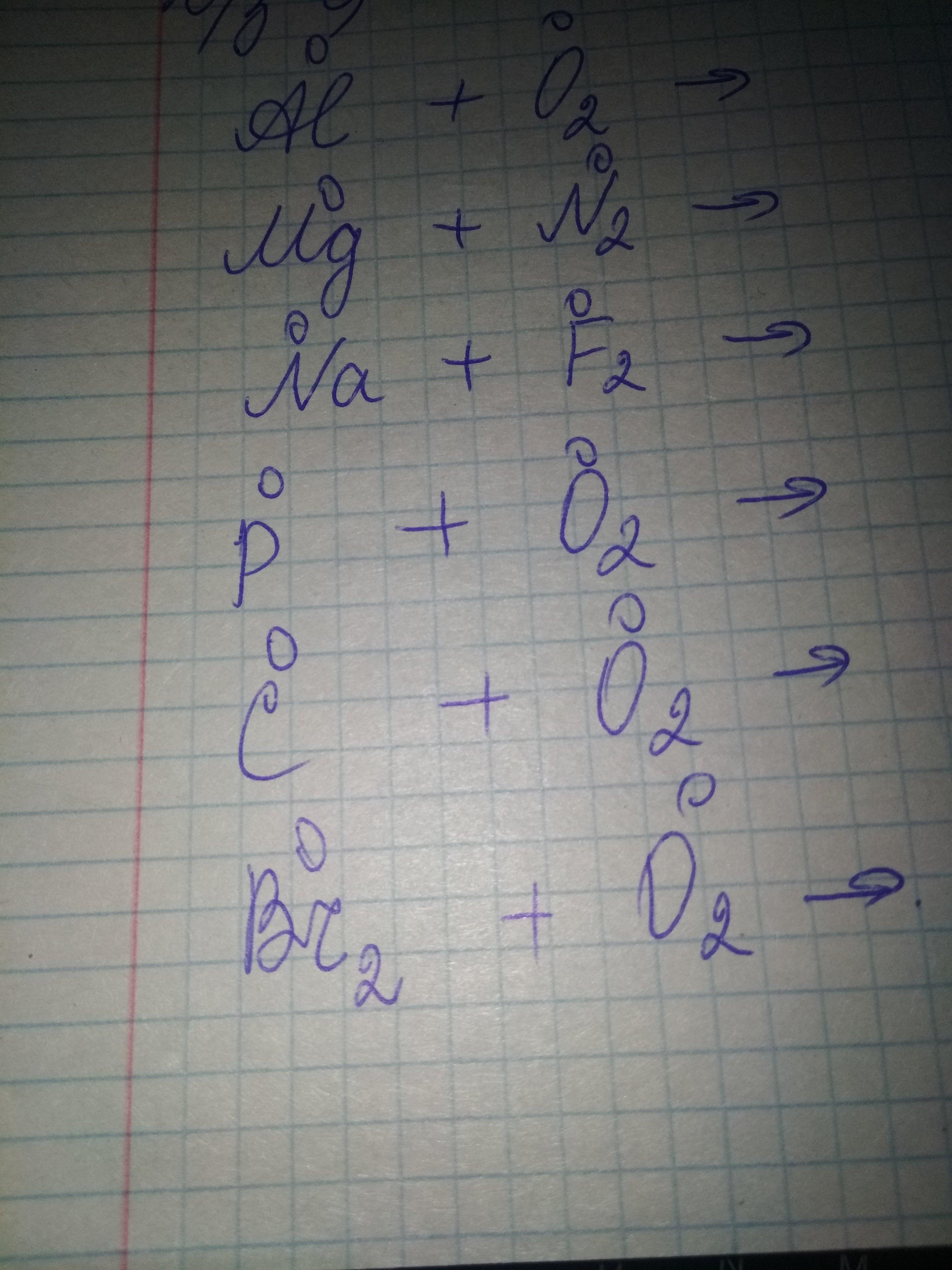
Помогите пж срочно
Дз по химии даю 20 баллов заранее спасибо)

Приложения:

Ответы

Ответ дал: wahek1999
1

Ответ:

Al2(3+)O3(-2)

Mg(2+)N2(-)

Na(+)F(-)

P2(5+)O5(2-)

C(4+)O2(2-)

Br(2+)O(2-)

Вас заинтересует