• Предмет: Алгебра
  • Автор: localwitch
  • Вопрос задан 2 года назад

25 БАЛЛОВ Помогите хотя бы с одним заданием.
1) Воспользовавшись определением, вычисли производную функции в точке x:
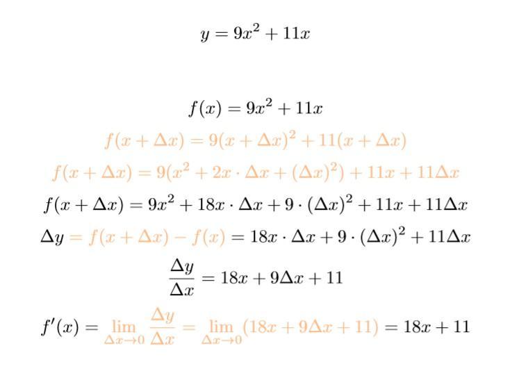
y=9x2+11x. Подробнее на скриншоте.

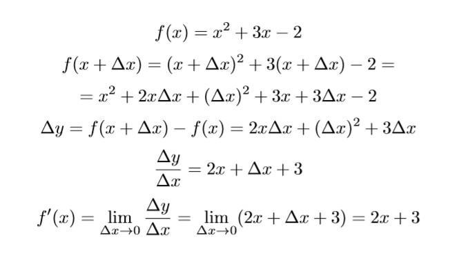
2)Воспользовавшись определением, вычисли производную функции f(x)=x2+3x−2 в точке x.

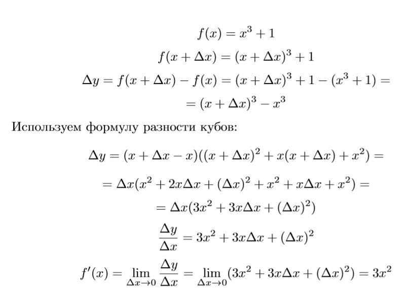
3)Воспользовавшись определением, вычисли производную функцииf(x)=x3+1 в точке x.

Приложения:

Ответы

Ответ дал: genius20
41

В решении первой задачи кремовым цветом выделены промежуточные вычисления, а обычным цветом — то, что надо записать в формы на скриншоте.

***

Если будут какие-либо вопросы — задавайте. Если мой ответ оказался полезен, нажимайте «спасибо» и отмечайте его как «лучший ответ».

Приложения:

localwitch: о боже, спасибо огромное
genius20: пожалуйста
Вас заинтересует