• Предмет: Физика
  • Автор: gambit0090
  • Вопрос задан 2 года назад

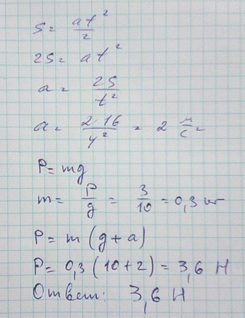
Вес покоящегося на земле тела равен 3H.Какими будут показания пружинных весов в кабине равноускоренно поднимающегося лифта, если лифт за 4 сек поднялся на высоту 16м?

Ответы

Ответ дал: Аноним
1

= решение = решение = решение = решение = решение =

Приложения:

gambit0090: Благодарю
Аноним: P=mg или Р=(g+a)?
Аноним: Вес покоящегося на земле тела равен 3H
Аноним: m=P/g=0,3кг
Аноним: думаю ошибки нет
Вас заинтересует