• Предмет: Химия
  • Автор: Humanzzz
  • Вопрос задан 2 года назад

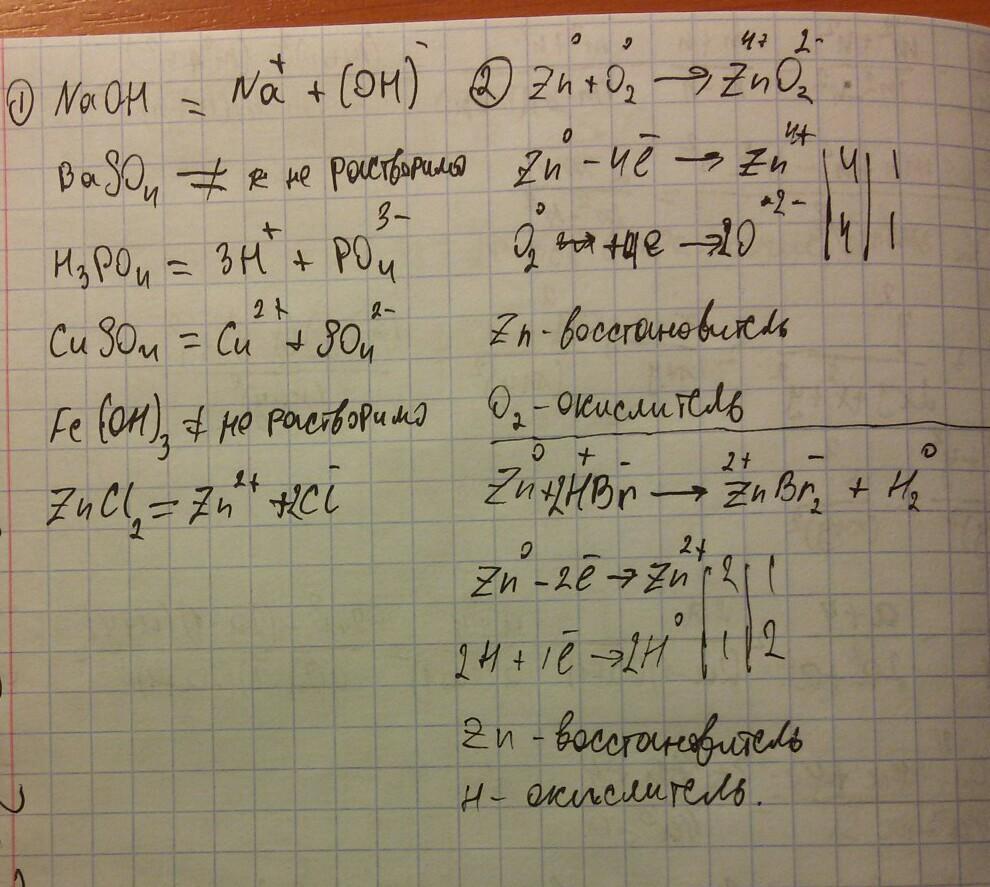
1. Запишите диссоциацию веществ:
NaOH, BaSO4, H3PO4, CuSO4, Fe(OH)3, ZnCl2
4. Закончите уравнения реакций, определите окислитель и восстановитель:
• Zn + O2 =
• Zn + HBr =​

Ответы

Ответ дал: svetka1574
0

Ответ:

Объяснение:

1) NaOH = Na(+) + OH(-)

BaSO4 - не диссоциирует

H3PO4 = 3H(+) + PO4(3-)

CuSO4 = Cu(2+) + SO4(2-)

Fe(OH)3 - не диссоциирует

ZnCl2 = Zn(2+) + 2Cl(-)

Диссоциация процесс обратимый

2) 2Zn + O2 = 2ZnO

Zn(0)  -2e = Zn(+2)    2    ок-ие

в-ль

O2(0) +4e = 2O(-2)   1     в-ие

ок-ль

Zn + 2HBr = ZnBr2 + H2

Zn(0)  -2e = Zn(+2)  1    ок-ие

в-ль

2H(+) +2e = H2(0)   1   в-ие

ок-ль

Ответ дал: aleksoref
0

Объяснение:

..............

Приложения:
Вас заинтересует