• Предмет: Алгебра
  • Автор: dashenk57
  • Вопрос задан 2 года назад

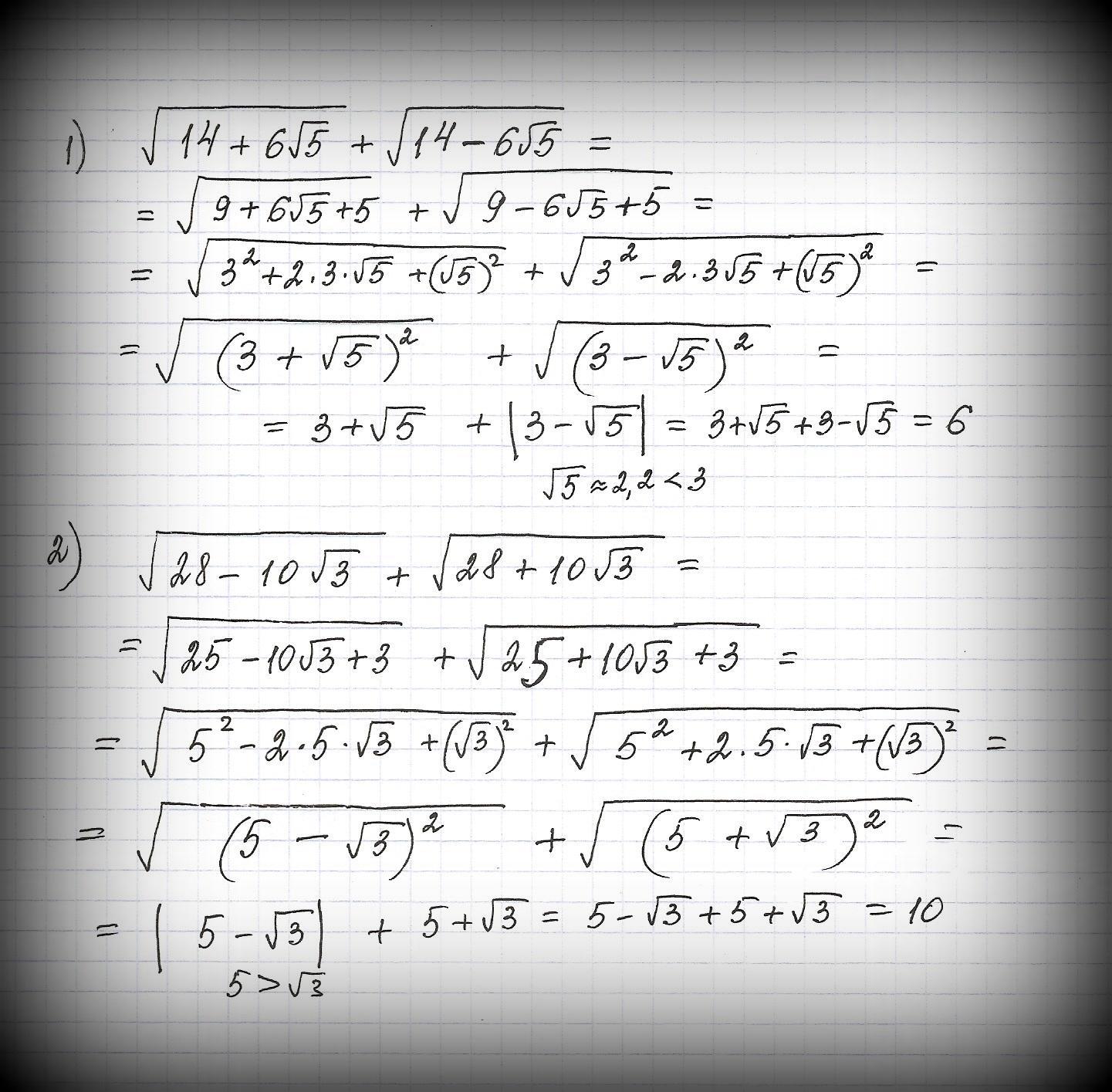
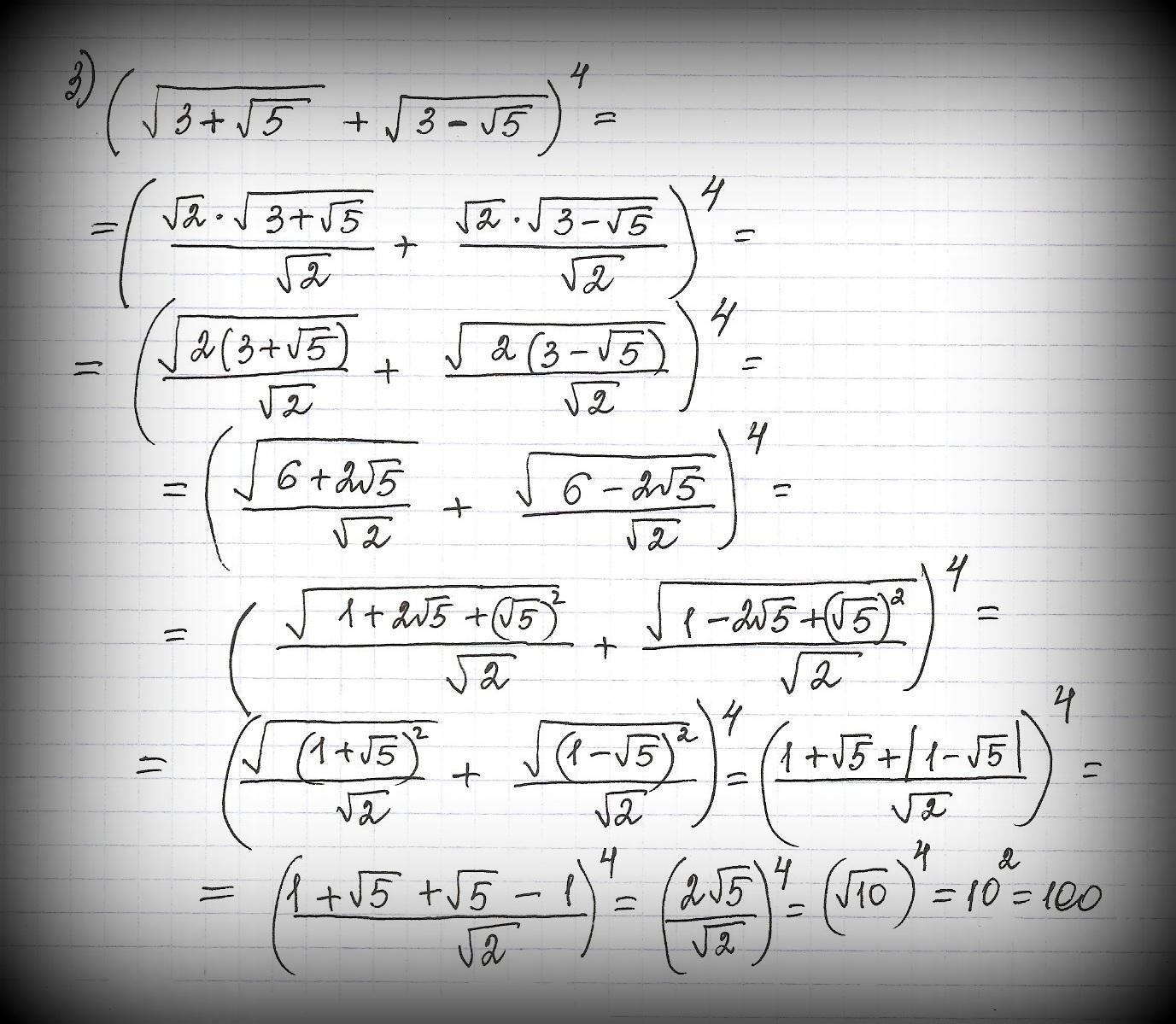
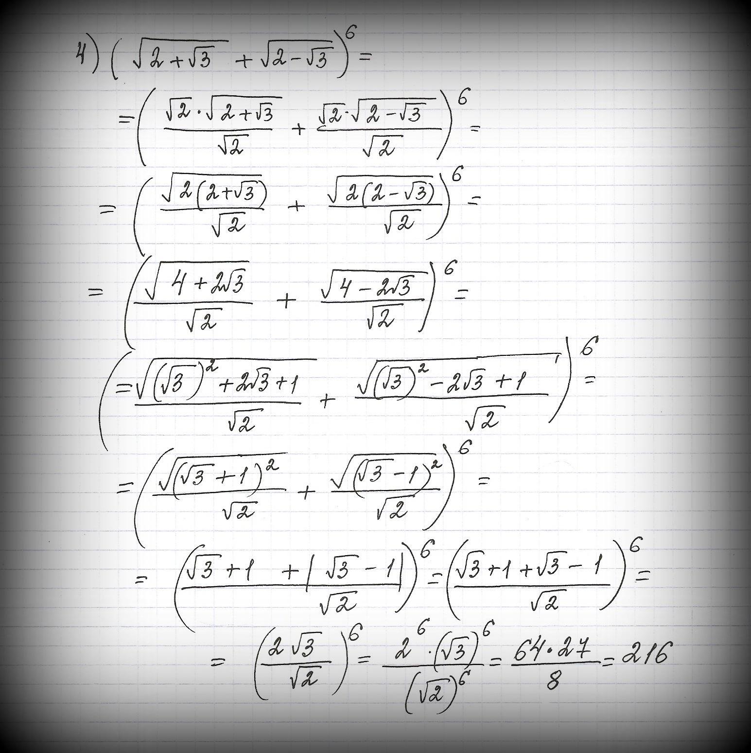
Вычислите
Заранее спасибо)​
Если можно, то с подробным решением)

Приложения:

tamarabernukho: Формулу сложных радикалов знаете?

Ответы

Ответ дал: tamarabernukho
2

Ответ:

Объяснение:

===================================

Приложения:
Вас заинтересует