• Предмет: Алгебра
  • Автор: miloserdowkirill
  • Вопрос задан 2 года назад

Найти уменьшаемое
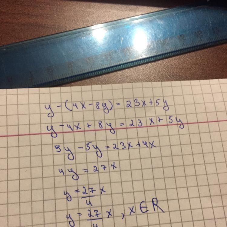
а) У-(4х-8у)=23х+5у
Решение У=??

Ответы

Ответ дал: anya2304
0
Вот,пожалуйста,держи))))
Приложения:
Ответ дал: klochkovajulija
0

Ответ:

Уменьшаемое=У=27х-3у

Объяснение:

У=23х+5у+4х-8у

У=27х-3у

Вас заинтересует