• Предмет: Алгебра
  • Автор: Yanazzzz
  • Вопрос задан 2 года назад

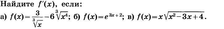
Производные, дам 50 баллов!!!

Приложения:

Ответы

Ответ дал: Аноним
0

a) f'(x)=3*(-1/3)x^(-4/3)=-x^(-4/3)

б) f'(x)=e^(3x+2)*3

в)f'(x)=1*√(x^2-3x+4)+x*(√(x^2-3x+4))'=

=√(x^2-3x+4)+x*(1/2)*(2x-3)/√(x^2-3x+4)=

=(x^2-3x+4+x^2-3x/2)/√(x^2-3x+4)=

=(2x^2-4,5x+4)/√(x^2-3x+4)

Вас заинтересует