• Предмет: Математика
  • Автор: akatorgina180
  • Вопрос задан 2 года назад

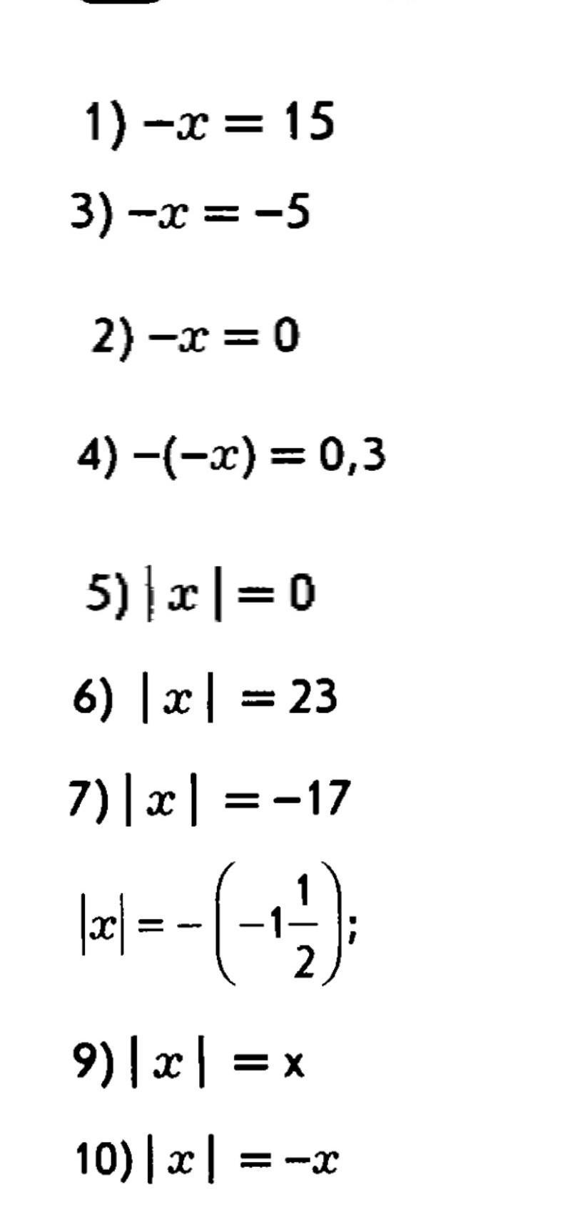
Решить только 8), 9),10).​

Приложения:

Ответы

Ответ дал: banu26b23
1

8) |х| = -(-1 1/2)

|х| = 1 1/2

х = 1 1/2 х= - 1 1/2

9) |х| = х

х = х х= - х

10) |х| = -х

х = -х х= х


akatorgina180: спасибо
banu26b23: не за что)
Вас заинтересует