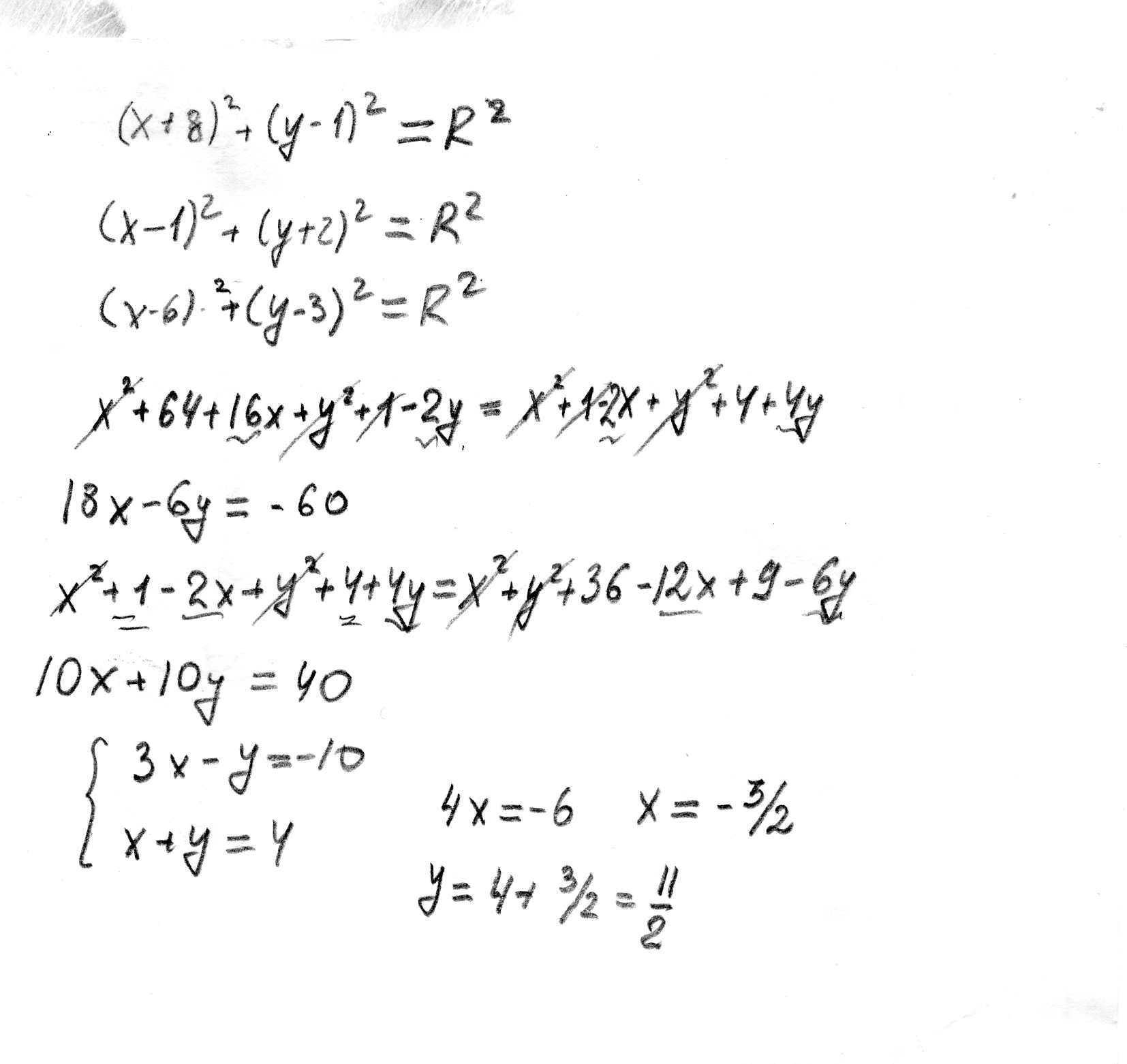
Вершинами треугольника служат точки A(-8; 1), B(1; -2), C(6; 3). Найти центр описанной около него окружности. Нужно подробное решение.
Ответы
Ответ дал:
0
Решение:
Смотри вложение:.....
Смотри вложение:.....
Приложения:

Вас заинтересует
2 года назад
2 года назад
8 лет назад
10 лет назад
10 лет назад
10 лет назад